Ученые воссоздали активный центр фермента, захватывающего CO2
Учёные из Лондона успешно воссоздали активный центр фермента ацетил-КоА-синтетазы, который играет ключевую роль в захвате углерода из атмосферы. Их исследование, опубликованное в Journal of the American Chemical Society, открывает новые перспективы в борьбе с изменением климата.
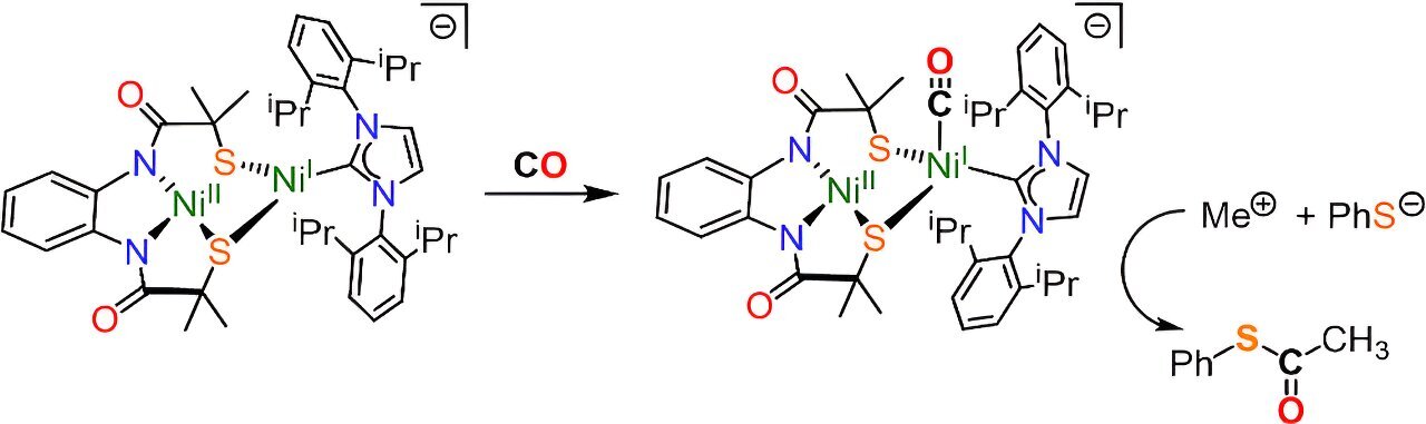
Под руководством доктора Ребекки Мусгрейв и доктора Дэниела Уилсона команда создала модель активного центра фермента, где происходят химические реакции. Ацетил-КоА-синтетаза преобразует CO2 в ацетилкофермент-А, важную молекулу для живых организмов.
Модель, созданная учеными, успешно имитировала химическую реакцию захвата углерода и его хранение в виде ацетилкофермента-А. Это может привести к созданию новых методов захвата CO2 из атмосферы и его использовании, например, в производстве биотоплив.
Доктор Дэниел Уилсон отметил, что воссозданная модель активного центра фермента с двумя атомами никеля показывает удивительное сходство с естественным активным центром и позволила синтезировать ацетилкофермент-А. Исследование с помощью электронной парамагнитной резонансной спектроскопии открывает новые возможности для создания промышленных катализаторов и решения проблем изменения климата.
