
Ученые синтезировали соединение, которое ускоряет химическую реакцию, лежащую в основе получения электроэнергии в экологически чистых топливных элементах. В состав разработанного катализатора входят железо и марганец. Эти металлы доступны и нетоксичны, поэтому полученное вещество может стать хорошей альтернативой широко применяемым сегодня платиновым катализаторам. Результаты исследования, поддержанного грантом Президентской программы Российского научного фонда (РНФ), опубликованы в Journal of Electroanalytical Chemistry.
Современная энергетика требует новых устройств для хранения и преобразования энергии, которые будут безопасны для окружающей среды при высокой производительности. Более экологичной и долговечной альтернативой широко используемым литий-ионным аккумуляторам могут служить топливные элементы, в которых благодаря реакциям топлива (например, водорода) и кислорода с электродами образуется электрический ток. В ходе реакции топливо отдает электроны, а кислород, в свою очередь, принимая заряженные частицы, восстанавливается до молекулы воды.
Однако восстановление кислорода не идет просто так: этот процесс требует участия катализаторов, запускающих и ускоряющих превращение. Чаще всего для этой цели в промышленности используют платиновые катализаторы, но они дорогие и необратимо взаимодействуют с некоторыми органическими и неорганическими соединениями. Такое взаимодействие приводит к отравлению катализатора и необходимости его частой замены. Поэтому ученые ищут альтернативы, например, синтезируя катализаторы на основе доступных и стабильных соединений марганца или железа.
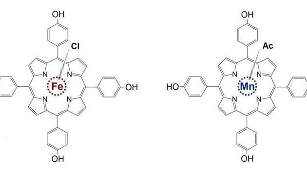
Исследователи из Института химии растворов имени Г. А. Крестова РАН (Иваново) разработали биметалл-порфириновые катализаторы в виде пленок. Сначала авторы синтезировали порфирины — сложные азотсодержащие молекулы, которые состоят из четырех связанных между собой углеродных колец. Затем в структуру ввели атом металла (железа или марганца), который прочно удерживался в центре азот-углеродного кольца. Для получения тонких пленок исследователи применили электрохимический подход, получив катализаторы, содержащие по отдельности атомы железа или марганца, а также биметаллический железо-марганцевый катализатор.
Ученые протестировали способность полученных пленок осуществлять реакцию восстановления кислорода. Для этого катализатор поместили в электрохимическую ячейку, заполненную щелочью, через которую пропускали кислород. По напряжению на электродах ячейки — элементах, проводящих ток, — оценивали эффективность химического превращения. Катализатор, содержащий сразу два металла, позволил при более низком напряжении сгенерировать в 1,5 раза больший ток, чем при использовании марганцевого или железного катализатора.
«При относительной дешевизне металлопорфирины железа и марганца обладают низкой токсичностью и могут использоваться в качестве катализаторов, необходимых для работы топливных элементов. Это позволит усовершенствовать данные устройства для хранения и преобразования энергии. В дальнейшем мы планируем оценить, как влияет на активность биметаллических порфириновых катализаторов присутствие в них атомов кобальта, меди и никеля. Кроме того, изменяя химическую структуру порфирина и молекулярное окружение атома металла, мы сможем более тонко настроить работу катализатора для протекания нужной реакции», — рассказывает руководитель проекта, поддержанного грантом РНФ, Сергей Кузьмин, кандидат химических наук, старший научный сотрудник лаборатории «Новые материалы на основе макроциклических соединений» Института химии растворов им. Г. А. Крестова РАН.